English
Español
400-881-3721
service@genrui-bio.com
关于我们
关于锦瑞
企业文化
发展历程
乐竞online(中国)
客户服务
乐竞网站web版登录入口
企业新闻
展会风采
视频资源
人才招聘
乐竞online(中国)
特定蛋白检测系统
PA480
PA320
PA300
PA240
PA200
PA120
PA54
免疫检测解决方案
MT120S
MT60
FA30
FA50
FA20
血液细胞检测系统
KT8000P
KT8000
KT6610P
KT6610
KT60
KT40
生化检测解决方案
PS800
GS480A
首页
关于我们
关于锦瑞
企业文化
发展历程
乐竞online(中国)
特定蛋白检测系统
免疫检测解决方案
血液细胞检测系统
生化检测解决方案
客户服务
乐竞网站web版登录入口
人才招聘
乐竞online(中国)
【20220713期】血栓四项对诊断创伤性骨折围手术期深静脉血栓的应用价值
2022-07-22
创伤性骨科手术是引起静脉血栓最常见原因
★
创伤性骨科手术是引起静脉血栓最常见的原因,下肢深静脉血( deep vein thrombosis,DVT) 脱落引起的肺栓塞( pulmonary embolism,PE) 是导致骨折患者非预期死亡的最主要原因。创伤骨折术后患者静脉血栓的发生率为 36% ~ 60%,近端 DVT发生率为 17% ~ 36% ( 近端 DVT 栓子脱落易引起大面积肺栓塞) 。
★
创伤性骨折是指骨骼因意外事故或暴力撕裂,常见于交通事故、高空坠落等,一般都伴有严重的外伤史,如肌肉的撕裂,血管的破损,关节的损伤等,这些复杂的外伤诱因,使得患者的凝血-纤溶系统异常活跃。
★ 该类患者的治疗具有手术时间长,术后制动时间长等特点,使得创伤性骨折患者术后获得 DVT 的风险远远高于闭合性骨折或其他疾病。
★ 受制于医疗条件的地域性差异,创伤性骨折患者大多无法第一时间在基层医院获得充足的治疗,需要向上级医院转诊,转诊期间部分患者已于术前形成 DVT。
研究数据:基础资料
注:基础疾病包括:糖尿病/高血压/冠心病;2.低能量:摔伤;高能量:车祸伤/坠落伤等;3.远端骨折:股骨干及以下部位骨折,HSF:环骨盆骨折含股骨干以上部位。
通过 427 例患者基础数据发现,创伤性骨折血栓的高危风险包括了基础疾病,高能量创伤,多发性骨折等,同时可以观察到所形成的血栓绝大部分是周围型血栓,这类血栓没有明显的下肢血栓典型症状如小腿周长,肿胀等,导致其极易被忽视,同时该类血栓更多处于活动期,非常容易脱落,导致PE 的发生。
(虽然在本研究中基础疾病在两组间的比较只存在数值差异,而不具有统计学差异,可能由于纳入样本的年龄较大,基础疾病发生率较高所导致。)
D-二聚体( D-D) 检测是目前国内外最普遍的 DVT 初筛实验
由于D-D灵敏度高,特异性差,极易受到其他因素干扰,骨折、创伤等因素会导致 D-D 急剧升高,高于医学决定水平,失去其“排阴”的指示作用。历年修订的《骨科大手术静脉血栓防治指南》和临床常用的血栓评估系统中,都只将 D-D 作 DVT 的阴性排除实验。
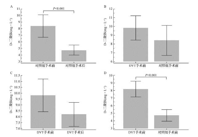
D-二聚体在创伤性骨折围手术期的变化
本研究利用病例对照研究发现:DVT 患者术后的 D-D 是高于非 DVT 患者的,而同一组患者的对比研究发现,常规术后抗凝治疗后,DVT 组 D-D 在手术前后的变化较小,一直处于高水平状态,而非 DVT 组,由于药物作用,术后 D-D 对比术前值有显著性降低。
该结果表明:手术前后对 D-D 动态检测,即使是干扰性极大的创伤性骨折,仍具有 DVT 的初步筛选作用; 术后 D-D 在两组之间仍表现出差异,这与某些单一骨折疾病模型对 D-D 值的观测结果一致,提示针对单一类型骨折重新制定 D-D 的医学决定水平。
2014 欧洲心血管会议将年龄修正 D-D 的 cutoff 值用于临床 DVT 筛查,但对于复杂的创伤骨折患者,其作用仍有待评估。
新凝血-纤溶四项的
变化差异
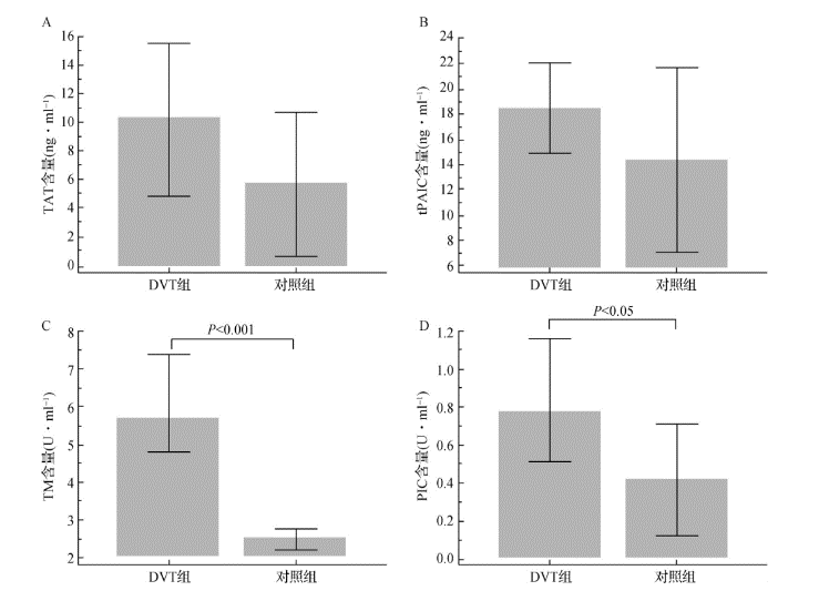
化学发光法检测术前 2 d 和术后 3 d 的 TM、 TAT、tPAIC、PIC 的表达。
TM、TAT、tPAIC、PIC在创伤骨折术前2d血栓组合对照组之间的表达差异
术前检测结果发现,术前血栓组的四个指标在 DVT 组表达均高于对照组,但是 TAT 和 tPAIC 在两组间无统计学差异( P > 0. 05) ,TM 术前在两组间存在显著性差异( P < 0. 001) ,PIC 在两组间存在差异( P < 0. 05) ,术后检测血栓组结果两组间对比以及术后血栓组之间的对比均无统计学差异 ( 结果未罗列)。
2015 年超敏化学发光技术应用于该四项的检测,临床能够直接对血栓形成和溶解的最早标志物进行评估。
2014 年日本的 DIC 防治指南中,将 TAT 列入评分量表。但是,这四项检测指标在骨科手术的血栓防治领域的研究还处于起步阶段。
2016 年,积水潭医院首次利用该技术检测TM、 tPAIC、PIC、TAT 并对 108 例( 54 例 DVT) 创伤骨折术后 DVT 诊断进行评估,实验发现 TM、tPAIC、PIC、D-D 这四项指标的联合诊断对术后下肢静脉血栓具有良好的辅助诊断价值,而 TAT 由于受术后抗凝影响,不宜作为诊断指标。
受限于客观条件,本研究只完成了小样本实验,结果显示在 DVT 的术前诊断中只有 TM 和 PIC 表现出较大的差异性,而术后四个指标没有明显差异( 数据未罗列) 。术前 TAT 和 tPAIC 的变化没有显著差异可能是由于创伤性导致的凝血酶原和纤溶酶原大量激活引起,过高的应激反应掩盖导致了 DVT 引起的差异。并且未能进行ROC分析,得到其相应的诊断效能,对此,研究者期待后期大样本数据能够获得更多的数据。
总结
新的更具诊断潜能的凝血-纤溶标志物(新血栓四项)被用于 DVT 的诊断,以弥补现有手段的不足。实验室技术诊断 DVT 的不断发展,有利于减少不必要的影像学检测和过度的抗凝治疗,同时满足基层医疗机构在缺乏相应影像学检测基础上对 DVT 的早期诊断,为 DVT 的早发现、早抗凝治疗提供实验室依据。
文章来源:现代
医学
Modern Medical Journal 2019,Aug; 47( 8) : 1023-1027
[文献标识码]
A
[文章编号]
1671-7562( 2019) 08-1023-05 doi: 10. 3969 /j. issn. 1671-7562. 2019. 08. 029
大发在线登录官网
|
马博手机版
|
易游在线注册
|
米乐官方
|
易游官方首页「中国」官方网页版
|
乐鱼页面在线登录
|
马博网页版-马博(中国)欢迎您
|
赢博在线中国官方网站
|
马博官方网站
|